
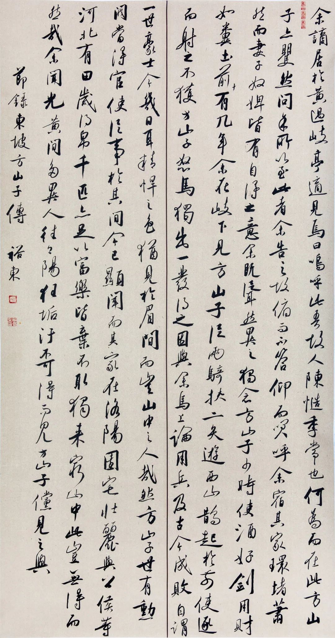
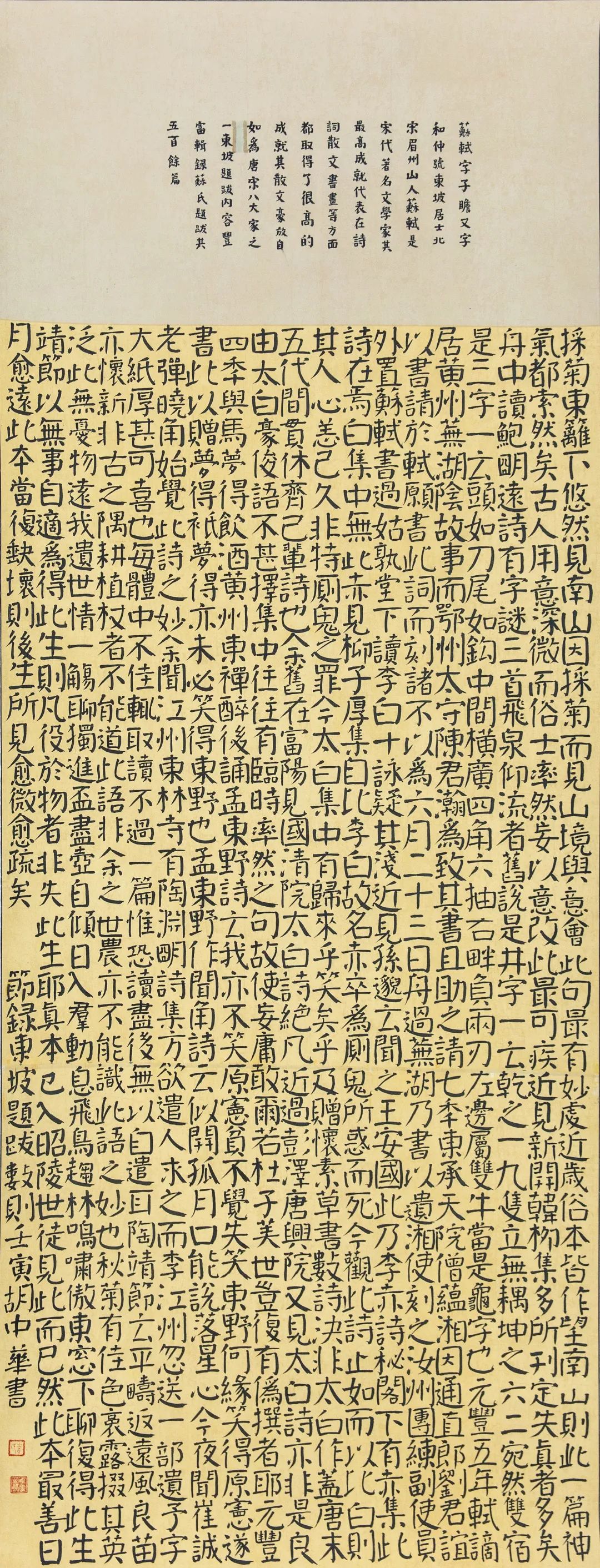
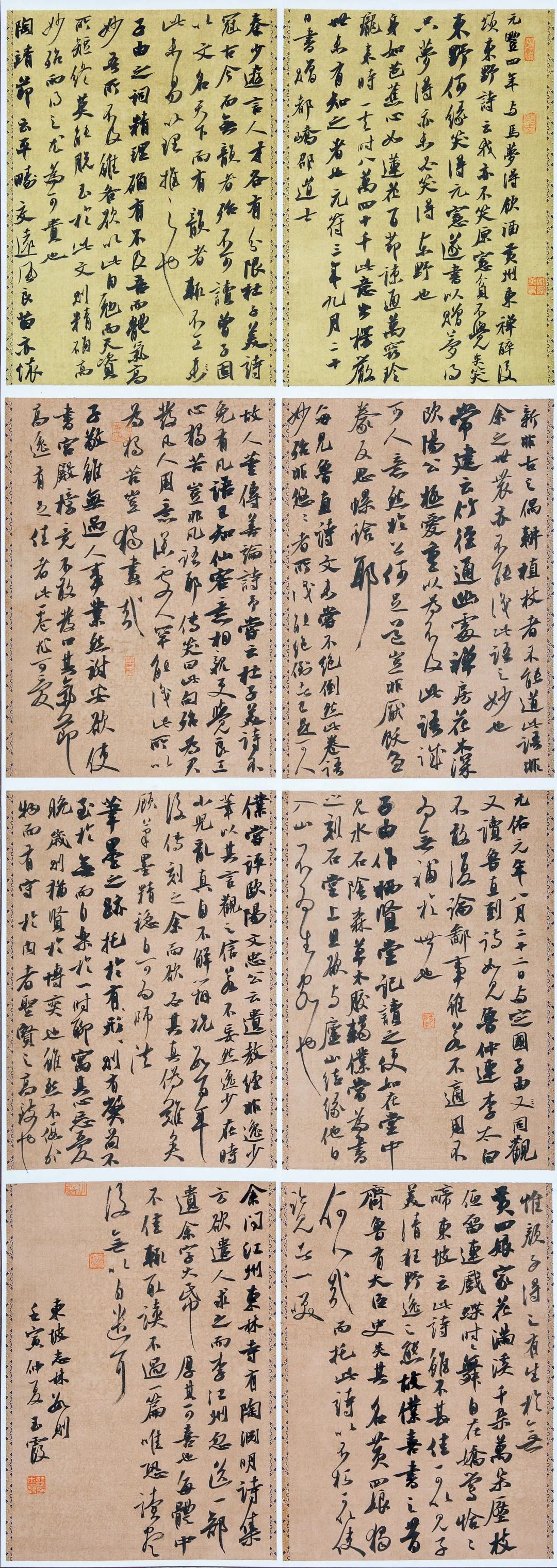
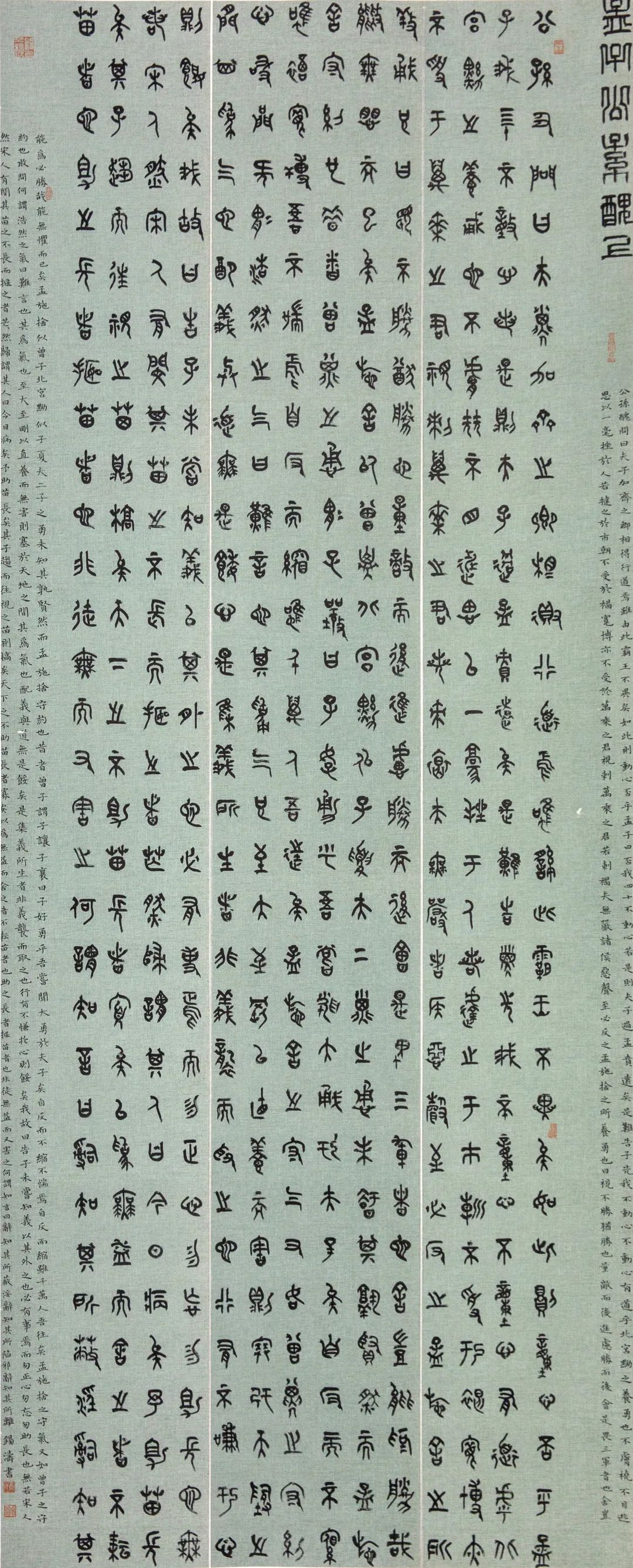
指导单位 中山市文化广电旅游局 主办单位 中山市文化馆 展览时间 3月21日至3月30日 展览地点 中山市文化馆二楼展厅 (东区街道博爱五路2号) 前言 党的二十大报告指出:繁荣发展文化事业和文化产业,坚持以人民为中心的创作导向,推出更多增强人民精神力量的优秀作品。近年来,中山市文化馆十分重视美术书法摄影创作与少儿艺术的培育,积极为广大艺术作者和怀揣艺术梦想的青少儿搭建展示才华、相互交流的平台,培养了一大批优秀的艺术人才,推动美术书法摄影作品以精品展、联展等各种群众喜闻乐见的方式下送到基层中,并多次举办艺术采风活动,组织我市美术、书法、摄影重点作者深入基层、扎根人民,创作出众多反映正能量、广接地气的优秀艺术作品,在省、市级美术、书法、摄影等各类展览中取得了十分优异的成绩。 为展示我市群文创作的丰硕成果,加强文化艺术交流,中山市文化馆特举办“艺聚风华”2022年度广东省美术书法摄影赛事中山获奖精品展。展览展出我市在广东省第十六届美术书法摄影作品联展、2022广东省群众艺术花会(少儿艺术)美术书法评选活动中的获奖及入选作品58件,这批优秀作品内容丰富,题材新颖,形式多样,风格各异,既有以当代艺术视角描绘新时代,歌颂新生活,展现社会生活发展变迁,刻画人民群众昂扬奋进的优秀艺术作品,也有充满想象力、稚趣盎然的少儿艺术作品,充分彰显了我市对艺术“蓓蕾”的培育成果以及广大书画摄影作者深入生活、礼赞时代、勇于创新、积极奋发的创作面貌。 讴歌奋进新征程,砥砺前行谱新章。在新的历史起点上,中山市文化馆将不忘初心,牢记使命,不断创新举措,为繁荣我市群众文艺创作,推动现代公共文化服务体系建设迈上新台阶而努力奋斗!也希望借此展览,能够激励我市美术、书法、摄影作者们创作出更多贴近实际、贴近生活、贴近群众、增强人民精神力量的精品力作,将生生不息的人民史诗注入笔端、写入画卷、映入镜头,推动我市文艺创作高质量发展,为“文化兴城”大文章润色添彩! 参展作品 广东省十六届美术书法摄影作品联展获奖作品 银奖作品 美术类 《庆祝中国人民解放军建军95周年之二》宣传画 作者:梁静雯 《老街记忆》油画 作者:陈剑军 书法类 《节录东坡方山子传》 作者:余裕东 《张建树印痕》 作者:张建树 摄影类 《绘龙舟》 作者:黄炎荣 《夜读》 作者:王建俭 铜奖作品 书法类 《苏东坡题跋数则》 作者:胡中华 《东坡志林选录》 作者:蓝玉霞 《节选孟子公孙丑上》 作者:郑锡涛 弘历《兰亭即事》 作者:彭 艳 节录米芾《书史》 作者:陆 琨 《盛世危言》节选 作者:张日华 《喜迎党的二十大诗三首》 作者:何杏清 摄影类 《众志成城》 作者:简建文 《牛气冲天跃新高》 作者:文智诚 《砥砺》 作者:梁敏仪 优秀作品 美术类 《快递进村》国画 作者:吴祥云 《水漂子》国画 作者:王 义 《光明守护者》国画 作者:冯高佳 《期待·美好时光》水彩 作者:杨 宁 书法类 《访张山人得山中字二首其一》 作者:钟徐英 《燕歌行》 作者:冯楚翘 《节录儒林公议》 作者:刘少真 《快雨堂题跋四则》 作者:巫朝安 《印说三十六计》 作者:李敬祥 《心得斋朱迹》 作者:苏华强 《痴儿了却公家事》 作者:邓辛红 文天祥《酹江月·和友驿中言别》 作者:范思婷 《古诗四首》 作者:骆亦筑 《习近平总书记“金句”》 作者:梁二敏 摄影类 《晒谷场上劳动美》 作者:文智诚 《夫妻光荣在党50年》 作者:吴汉斌 入选作品 美术类 《老屋》水彩 作者:王 宁 《全面小康》油画 作者:罗仁军 书法类 《礼记礼运大同小康》节选 作者:朱家道 《初月楼论书随笔》节选 作者:邓炜明 摄影类 《我运动 我快乐》 作者:简建文 《我与祖国共成长》 作者:周龙生 《阳光下成长》 作者:贺荣华 《书香》 作者:贺荣华 《浇灌》 作者:黄炎荣 《合力取水》 作者:蔡海鹏 《烟火璀璨》 作者:冯宝怀 《彩带飞天》 作者:冯宝怀 《众人乐乐》 作者:欧倩芳 《分享喜悦》 作者:李国平 《幸福生活》 作者:黄欣仪 《“七彩阳光”夏令营》 作者:贺亿强 广东省群众艺术花会(少儿艺术)美术书法类 获奖作品 美术类 一等奖 《中山酔龙舞》版画 作者:罗雯钰、桑 朵、汤焱琳 二等奖 《龙舟之石岐系列一至四》 作者:于杞悦萌、范梓暄、吴子瑜、 林紫晴、马嘉逸、姚语信 《舞狮》水墨画 作者:余浩贤 三等奖 《老街新象》中国画(白描) 作者:胡曦文 《安堂古村之美》牛仔布贴画 作者:杨心怡、冯莉雅、李可、邓雅芳 书法类 一等奖 节录荀子《劝学》 作者:欧诺禧 二等奖 《津乔篆刻》 作者:骆津乔 《楷书中庸节录》 作者:何荧珊 三等奖 《李大钊诗一首》 作者:卢婉妍 《世说新语数则》 作者:候逸海


























































